Publications – 12 1
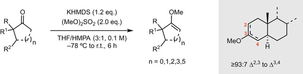
121. Prout, E.S..; Kwon, O.; Silva, T.G. Regioselective Synthesis of Methyl Enol Ethers from Cycloalkanones via O-Methylation of Kinetic Enolates. Synthesis, 2026, DOI:10.1055/a-2822-8676 [abstract] [link]

120. Croll, E. A..; Kwon, O. Organocatalytic Transformations with Chiral Phosphines. Enantioselective Organocatalysis: Catalysts, Reactions, and Applications. Dalko, P. I., Ed.; Wiley‐VCH GmbH, 2025; pp 803–847. DOI: 10.1002/9783527845552.ch21. [link]

119. Dworkin, J. H.; Chen, Z. M.; Prout, E.S.; Kwon, O. Ozonolysis of Alkenes Containing Amines, Allylic Alcohols, and Electron-Rich Arenes for Dealkenylation. Org. Lett. 2025, 27, 7833–7839 DOI: 10.1021/acs.orglett.5c02076 [abstract] [link]

118. Dworkin, J. H.; Chen, Z. M.; Cheasty, K. C.; Rubio, A. V.; Kwon, O. Hydrodealkenylative C(sp3)–C(sp²) Bond Fragmentation Using Isayama–Mukaiyama Peroxidation. J. Am. Chem. Soc. 2025, 147, 13531–13544. DOI: 10.1021/jacs.5c00540. [abstract] [link]

117. Šimek, M.; Dworkin, J. H.; Kwon, O. Synthesis through C(sp3)–C(sp²) Bond Scission in Alkenes and Ketones. Acc. Chem. Res. 2025, 58, 1547–1561. DOI: 10.1021/acs.accounts.5c00156. [abstract] [link]

116. Champion, O.; Maïga, S.; Antier, C.; Dousset, C.; Moreau-Aubry, A.; Bellanger, C.; Guillonneau, F.; Moreno, J.A.; Kwon, O.; Lilli, N. L.; Moreau, P.; Chiron, D.; Pellat-Deceunynck, C.; Touzeau, C.; Gomez-Bougie, P. VDAC2 primes Myeloma cells for BAK-dependent apoptosis and represents a novel therapeutic target. Leukemia 2025, 39, 995–1000. DOI: 10.1038/s41375-025-02523-8 [abstract] [link]

115. Šimek, M.; Mahato, S.; Dehnert, B. W.; and Kwon, O. Deacylative Homolysis of Ketone C(sp3)–C(sp²) Bonds: Streamlining Natural Product Transformations. J. Am. Chem. Soc. 2025, 147, 2664–2674. DOI: 10.1021/jacs.4c15045 [abstract] [pdf]

114. Dehnert, B. W.; Yin, Y.; and Kwon, O. Halodealkenylation: Ozonolysis and Catalytic Fe{II} with Vitamin C Convert C(sp3)–C(sp²) Bonds to C(sp3)–Halide Bonds. Org. Lett. 2024, 26, 10921–10927 DOI: 10.1021/acs.orglett.4c04084. [abstract] [pdf]

113. Dehnert, B. W.; Kwon, O. Hydrodealkenylative Cleavage of C(sp3)–C(sp²) Bonds: Preparation of (1S, 3R)-3-Methylcyclohexan-1-ol. Org. Synth., 2024, 101, 488–507. DOI: 10.15227/orgsyn.101.0488. [abstract] [pdf]

112. Croll, E. A.; Kwon, O. Mechanism of the Mitsunobu Reaction: An Ongoing Mystery. Synthesis, 2024, 56, 1843–1850. DOI: 10.1055/a-2232-8633. [abstract] [pdf]

111. Tan, Q.; Kwon, O. [4+2] Cycloadditions Catalyzed by Nucleophilic Catalysts. In Comprehensive Chirality, 2nd Ed., Volume 2. Asymmetric Cycloadditions. Feng, X., Ed.; Elsevier, 2024; pp 357–428. DOI: 10.1016/B978-0-32-390644-9.00045-7. [link]

110. Dehnert, B. W.; Dworkin, J. H.; Kwon, O. Dealkenylative Functionalization: Conversion of Alkene C(sp3)–C(sp²) Bonds to C(sp3)–X Bonds via Redox-Based Radical Processes. Synthesis, 2024, 56, 71-86. DOI: 10.1055/a-2044-4571. [abstract] [pdf]

109. He, Z.; Moreno, T.; Swain, M.; Wu, J.; Kwon, O. Aminodealkenylation: Ozonolysis and copper catalysis convert C(sp3)–C(sp²) bonds to C(sp3)–N bonds. Science, 2023, 381, 877–886. DOI: 10.1126/science.adi4758. [abstract] [pdf]

108. Dworkin, J. H.; Dehnert, B. D.; Kwon, O. When all C–C breaks LO–Ose. Trends Chem. 2023, 5, 174-200. DOI: 10.1016/j.trechm.2023.01.001 [abstract] [pdf]

107. Xie, C.; Kim, J. M.; Khanh, B.; Cao, S.; Ye, R.; Wang, X.; Liu, P.; Kwon, O. Enantioselective Synthesis of Quaternary Oxindoles: Desymmetrizing Staudinger−aza-Wittig Reaction Enabled by Bespoke HypPhos Oxide Catalyst. J. Am. Chem. Soc. 2022, 144, 21318–21327. DOI: 10.1021/jacs.2c09421 [abstract] [pdf]

106. Swain, M.; Bunnell, T. B.; Kim, J. Kwon, O. Dealkenylative Alkynylation Using Catalytic Fe(II) and Vitamin C. J. Am. Chem. Soc. 2022, 144, 14828–14837. DOI: 10.1021/jacs.2c05980 [abstract] [pdf]

105. Hagiwara, H; Watanabe, M.; Fujioka, Y.; Kadosaka, T.; Koizumi, T.; Koya, T.; Nakao, M.; Kamada, R.; Temma, T.; Okada, K.; Moreno, J. M.; Kwon, O.; Sabe, H.; Ohba, Y.; Anzai, T. Stimulation of the mitochondrial calcium uniporter mitigates chronic heart failure-associated ventricular arrhythmia in mice. Heart Rhythm 2022, 19, 1725-1735. DOI: 10.1016/j.hrthm.2022.05.034. [abstract] [pdf]

104. Khong, S.; Venkatesh, T.; Kwon, O. Nucleophilic Phosphine Catalysis: The Untold Story. Asian J. Org. Chem. 2021, 10, 2699–2608. DOI: 10.1002/ajoc.202100496. {abstract] [pdf]

103. Shankar, T. S.; Ramadurai, D. K. A.; Steinhorst, K.; Sommakia, S.; Badolia, R.; Krokidi, A. T.; Calder, D.; Navankasattusas, S.; Sander, P.; Kwon, O. S.; Aravamundhan, A.; Ling, J.; Dendorfer, A.; Xie, C.; Kwon, O.; Cheng, E. H. Y.; Whitehead, K. J.; Richardson, R. S.; Spitzer, K. W.; Schdelseker, J.; Chaudhuri, D.; Drakos, S. G. Cardiac-specific deletion of voltage dependent anion channel 2 leads to dilated cardiomyopathy by altering calcium homeostasis. Nat. Commun. 2021, 12, 4583. DOI: 10.1038/s41467-021-24869-0 [abstract] [pdf]

102. Xie, C.; Smaligo, A. J.; Song, X.-R.; Kwon, O. Phosphorus-Based Catalysis. ACS Cent. Sci. 2021, 7, 536–558. DOI: 10.1021/acscentsci.0c01493 [abstract] [pdf]

101. Chen, V. Y.; Kwon, O. Unified Approach to Furan Natural Products via Phosphine–Palladium Catalysis. Angew. Chem. Int. Ed. 2021, 60, 8874–8881.. DOI: 10.1002/anie.202015232 [abstract] [pdf]

100. Swain, M.; Sadykhov, G.; Wang, R.; Kwon, O. Dealkenylative Alkenylation: Formal σ‐Bond Metathesis of Olefins. Angew. Chem. Int. Ed. 2020, 59, 17565–17571. DOI: 10.1002/anie.202005267 [abstract] [pdf]
Synfacts highlight [link]

99. Blank, B.; Andrews, I.; Kwon, O. Phosphine-Catalyzed (4 + 1) Annulation: Rearrangement of Allenylic Carbamates to 3-Pyrrolines Through Phosphonium Diene Intermediates. ChemCatChem. 2020, 12, 4352–4372. DOI: 10.1002/cctc.202000626 [abstract] [pdf]

98. Wilting, F.; Kopp, R.; Gurnev, P. A.; Schedel, A.; Dupper, N. J.; Kwon, O.; Nicke, A.; Gudermann, T.; Schredelseker, J. The antiarrhythmic compound efsevin directly modulates voltage-dependent anion channel 2 by binding to its inner wall and enhancing mitochondrial Ca2+ uptake. Br. J. Pharmacol. 2020, 177, 2947–2958. DOI: 10.1111/bph.15022 [abstract] [pdf]

97. Smaligo, A. J.; Wu, J.; Burton, N. R.; Hacker, A. S.; Shaikh, A. C.; Quintana, J. C.; Wang, R.; Xie, C.; Kwon, O. Oxodealkenylative cleavage of alkene C(sp3)–C(sp²) bonds: A practical method for introducing carbonyls into chiral pool materials. Angew. Chem. Int. Ed. 2020, 59, 1211–1215. DOI: 10.1002/anie.20191320 [abstract] [pdf]

96. Smaligo, A. J.; Kwon, O. Dealkenylative thiylation of C(sp3)–C(sp²) bonds. Org. Lett. 2019, 21, 8592–8597. DOI: 10.1021/acs.orglett.9b03186 [abstract] [pdf]
On the Organic Letters “Most Read” list for the month of November.
First appeared on ChemRxiv [abstract] [pdf]
Synfacts highlight [link]

95. Shaikh, A. C.; Kwon, O. Discussion Addendum for: Phosphine-Catalyzed [3 + 2] Annulation: Synthesis of Ethyl 5-(tert-Butyl)-2-phenyl-1-tosyl-3-pyrroline-3-carboxylate. Org. Synth. 2019, 96, 214–231. DOI: 10.15227/orgsyn.096.0214 [abstract] [pdf]

94. Zhang, K.; Cai, L.; Hong, S.; Kwon, O. Phosphine-Catalyzed α-Umpolung–Aldol Reaction for the Synthesis of Benzo[b]azapin-3-ones. Org. Lett. 2019, 21, 5143–5146. DOI: 10.1021/acs.orglett.9b01749 [abstract] [pdf]

93. Cai, L.; Zhang, K.; Chen, S.; Lepage, R. J.; Houk, K. N.; Krenske, E. H.; Kwon, O. Catalytic asymmetric Staudinger–aza-Wittig reaction for the synthesis of heterocyclic amines. J. Am. Chem. Soc. 2019, 141, 9537–9542. DOI: 10.1021/jacs.9b04803 [abstract] [pdf]

92. Smaligo, A. J.; Swain, M.; Quintana, J. C.; Tan, M. F.; Kim, D. A.; Kwon, O. Hydrodealkenylative C(sp3)–C(sp²) bond fragmentation. Science 2019, 364, 681–685. DOI: 10.1126/science.aaw4212 [abstract] [pdf]
Perspective by Seb Caille [link]
UCLA News highlight [link]
UCLA TDG highlight [link]
Phys.org highlight [link]
X-MOL highlight [link]
The Cyclo Edition highlight [link]
WuXi Pharma highlight [link]
OPR&D highlight [link]
organic-chemistry.org highlight [link]

91. Shaikh, A. C.; Kwon, O. Discussion Addendum for: Phosphine-Catalyzed [4 + 2] Annulation: Synthesis of Ethyl 6-Phenyl-1-tosyl-1,2,5,6-tetrahydropyridine-3-carboxylate. Org. Synth. 2019, 96, 110–123. DOI: 10.15227/orgsyn.096.0110 [abstract] [pdf]

90. Khong, S.; Xie, C.; Wang, X.; Tan, H.; Kwon, O. Chiral Aminophosphines Derived from Hydroxyproline and Their Application in Allene–Imine [4 + 2] Annulation. J. Antibiot. 2019, 72, 389–396. DOI: 10.1038/s41429-019-0181-0. [abstract] [pdf]

89. Liu, H.; Lin, Y.; Zhao, Y.; Xiao, M.; Zhou, L.; Wang, Q.; Zhang, C.; Wang, D.; Kwon, O.; Guo, H. Phosphine-Promoted [4+3] Annulation of Allenoate with Aziridines for Synthesis of Tetrahydroazepines: Phosphine-Dependent [3+3] and [4+3] Pathways. RSC Adv. 2019, 9, 1214–1221. DOI: 10.1039/C8RA09852B [abstract] [pdf]

88. Kearney, S. E., et al. Canvas: a crowd-sourced, natural product screening library for exploring biological space. ACS Cent. Sci. 2018, 4 , 1727–1741. DOI: 10.1021/acscentsci.8b00747 [abstract] [pdf]

87. Guo, H.; Fan, Y. C.; Sun, Z.; Wu, Y.; Kwon, O. Phosphine Organocatalysis. Chem. Rev. 2018, 118, 10049–10293. DOI: 10.1021/acs.chemrev.8b00081 [abstract] [pdf]

86. Xu, Q.; Dupper, N. J.; Smaligo, A. J.; Fan, Y. C.; Cai, L.; Wang, Z.; Langenbacher, A. D.; Chen, J.; Kwon, O. Catalytic Enantioselective Synthesis of Guvacine Derivatives through [4 + 2] Annulations of Imines with α-Methylallenoates. Org. Lett. 2018, 20, 6089–6093. DOI: 10.1021/acs.orglett.8b02489 [abstract] [pdf]

85. Lee, C. J.; Swain, M.; Kwon, O. “Synthesis of Cyclic β-Silylalkenyl Triflates via an Alkenyl Cation Intermediate” Org. Lett. 2018, 20, 5474–5477. DOI: 10.1021/acs.orglett.8b02398 [abstract] [pdf]
organic-chemistry.org highlight [link]

84. Smaligo, A. J.; Vardhineedi, S.; Kwon, O. Carvone-Derived P-Stereogenic Phosphines: Design, Synthesis, and Use in Allene–Imine [3 + 2] Annulation. ACS Catal. 2018, 8, 5188–5192. DOI: 10.1021/acscatal.8b01081 [abstract] [pdf]
organic-chemistry.org highlight [link]

83. Zhang, K.; Cai, L.; Yang, Z.; Houk, K. N.; Kwon, O. Bridged [2.2.1] Bicyclic Phosphine Oxide Facilitates Catalytic γ-umpolung–Wittig Olefination. Chem. Sci. 2018, 9, 1867–1872. DOI: 10.1039/C7SC04381C [abstract] [pdf]

82. Zhao, J.; Brosmer, J. L.; Tang, Q.; Yang, Z.; Houk, K. N.; Diaconescu, P. L.; Kwon, O. Intramolecular Crossed [2 + 2] Photocycloaddition by Visible Light-Induced Energy Transfer. J. Am. Chem. Soc. 2017, 139, 9807–9810. DOI: 10.1021/jacs.7b05277 [abstract] [pdf]
Spotlights on Recent JACS Publications highlight [abstract] [pdf]

81. Schweitzer, M. K.; Wilting, F.; Sedej, S.; Dreizehnter, L.; Dupper, N. J.; Moretti, A.; My, I.; Kwon, O.; Priori, S. G.; Laugwitz, K.-L.; Breit, A.; Schnitzler, M. M.; Gudermann, T.; Schredelseker, J. Suppression of Arrhythmia by Enhancing Mitochondrial Ca2+ Uptake in Catecholaminergic Ventricular Tachycardia Models. J. Am. Coll. Cardiol. Basic Trans. Science. 2017, 2, 737–747 . DOI: 10.1016/j.jacbts.2017.06.008 [abstract] [pdf]

80. Fernández-del-Río, L.; Nag, A.; Casado, E. G.; Ariza, J.; Awad, A. M.; Joseph A. I.; Kwon, O.; Verdin, E..; de Cabo, R.; Schneider, C.; Torres, J. Z.; Burón, M. I.; Clarke, C. F.; Villalba, J. M. Kaempferol increases levels of coenzyme Q in kidney cells and serves as a biosynthetic ring precursor. Free Radical Bio. Med. 2017, 110, 176–187. DOI: 10.1016/j.freeradbiomed.2017.06.006 [abstract] [pdf]

79. Zhang, K.; Kwon, O. 2-[(4-Methylphenyl)sulfonyl]-5-phenyl-2-aza-5-phosphabicyclo[2.2.1.]heptane. In Encyclopedia of reagents for Organic Synthesis [Online], John Wiley & Sons Ltd., 2017. DOI: 10.1002/047084289X.rn02004. [abstract] [pdf]

78. Koc, E.; Kwon, O. Total Syntheses of Heliotridane and Pseudoheliotridane through the 6 Electrocyclization of Nitrodienes. ‘Symposium-in-Print: New Advances in Pericyclic Reactions’ Tetrahedron 2017, 73, 4195–4200. DOI: 10.1016/j.tet.2016.12.056 [abstract] [pdf]

77. Fan, Y. C.; Kwon, O. Beyond the Morita–Baylis–Hillman Reaction (n → π*). In Lewis Base Catalysis, Vol. 2; Vedejs E. Denmark, S. E., Eds.; Wiley-VCH Verlag GmbH & Co, KGaA, Boschstr: Weinheim, Germany, 2016; pp 715–804. DOI: 10.1002/9783527675142.ch15 [abstract] [pdf]

76. Kibbie, J. J.; Teles, R. M. B.; Wang, Z.; Hong, P.; Montoya, D.; Krutzik, S.; Lee, S.; Kwon, O.; Modlin, R. L.; Cruz, D. Jagged1 Instructs Macrophage Differentiation in Leprosy. PloS Pathog. 2016, 12, e1005808. DOI: 10.1371/journal.ppat.1005808 [abstract] [pdf]

75. Zhou, Q.-F.; Zhang, K.; Cai, L.; Kwon, O. Phosphine-Catalyzed Intramolecular Cyclization of α-(β-Nitroethyl)allenoates to Form (Z)-Furanone Oximes. Org. Lett. 2016, 18, 2954–2957. [abstract] [pdf]

74. Cai, L.; Zhang, K.; Kwon, O. Catalytic Asymmetric Total Synthesis of (–)-Actinophyllic Acid. J. Am. Chem. Soc. 2016, 138, 3298–3301. DOI: 10.1021/jacs.6b00567 [abstract] [pdf]
organic-chemistry.org highlight [link]

73. Xiao, Y.; Guo, H.; Kwon, O. Nucleophilic Chiral Phosphines: Powerful and Versatile Catalysts for Enantioselective Intermolecular Cyclization Reactions. Aldrichimica Acta, 2016, 49, 3–13. [pdf]

72. Wang; Z.; Xu, X.; Gu, Z.; Feng, W.; Qian, H.; Li, Z.; Kwon, O. Interrupted Nazarov Cyclization of 1,4-Pentadien-3-ols: Preparation of Cyclopenta[b]indoles. Chem. Commun. 2016, 52, 2811–2814. DOI: 10.1039/C5CC08596A [abstract] [pdf]

71. Lu, J.; Yoshimura, K.; Goto, K.; Lee, C.; Hamura, K.; Kwon, O.; Tamanoi, F. Nanoformulation of geranylgeranyltransferase-I inhibitors for cancer therapy: Liposomal encapsulation and pH-dependent delivery to cancer cells. PloS ONE, 2015, 10, e346b403. DOI: 10.1371/journal.pone.0137595 [abstract] [pdf]
70. Zhang, K.; Cai, L.; Jiang, X.; Garcia-Garibay, M. A.; Kwon, O. Phosphine-Mediated Iterative Arene Homologation Using Allenes. J. Am. Chem. Soc. 2015, 137, 11258–11261. DOI: 10.1021/jacs.5b07403 [abstract] [pdf]

69. Fan, Y. C.; Kwon, O. Synthesis of Functionalized Alkylidene Indanes and Indanones through Tandem Phosphine-Palladium Catalysis. Org. Lett. 2015, 17, 2058–2061. DOI: 10.1021/acs.orglett.5b00554 [abstract] [pdf]

68. Xie, L. X.; Williams, K.; He, C. H.; Weng, E.; Khong, S.; Rose, T.; Kwon, O.; Bensinger, S.; Marbois, B.; Clarke, C. F. Resveratrol and para-coumarate serve as ring precursors for coenzyme Q biosynthesis. J. Lipid Res. 2015, 56, 909–919. DOI: 10.1194/jlr.M057919 [abstract] [pdf]

67. Wang, Z.; Kwon, O. (S)- 4,5-Dihydro-3H-dinaphtho[2,1-c:1′,2′-e]azepine. In Encyclopedia of reagents for Organic Synthesis, John Wiley & Sons Ltd., 2015. DOI: 10.1002/047084289X.rn01773 [pdf]

66. Dupper, N. J.; Kwon, O. Functionalized α,α-Dibromoesters Through Claisen Rearrangements of Dibromoketene Acetals. Org. Lett. 2015, 17, 1054–1057. DOI: 10.1021/acs.orglett.5b00209 [abstract] [pdf]

65. Chang, J. W.; Zuhl, A. M.; Speers, A. E.; Niessen, S.; Brown, S. J.; Mulvihill, M. M.; Spicer, T. P.; Southern, M.; Scampavia, L.; Fernandez-Vega, V.; Ferguson, J.; Dix, M. M.; Hodder, P. S.; Rosen, H.; Nomura, D. K.; Kwon, O.; Hsu, K.-L.; Cravatt, B. F. A selective inhibitor of platelet-activating factor acetylhydrolases 1b2 and 1b3 that impairs cancer cell survival. ACS Chem. Biol. 2015, 10, 925–932. DOI: 10.1021/cb500893q [abstract] [pdf]

64. Zhou, Q.-F.; Zhang, K.; Kwon, O. Stereoselective Synthesis of α,β-Unsaturated γ-Amino Esters Through Phosphine-Catalyzed γγ-Umpolung Addition of Sulfonamides to γ-Substituted Allenoates. Tetr. Lett. 2015, 56, 3273–3276. DOI: 10.1016/j.tetlet.2015.01.120 [abstract] [pdf]

63. Shimizu, H.; Schredelseker, J.; Huang, J.; Lu, K.; Naghdi, S.; Lu, F.; Franklin, S.; Fiji, H. D. G.; Wang, K.; Zhu, H.; Tian, C.; Lin, B.; Nakano, H.; Ehrlich, A.; Nakai, J.; Stieg, A. Z.; Gimzewski, J. K.; Nakano, A.; Goldhaber, J. I.; Vondriska, T. M.; Hajnoczky, G.; Kwon, O.; Chen, J.-N. Mitochondrial Ca2+ uptake by the voltage-dependent anion channel 2 regulates cardiac rhythmicity. eLife 2015, 4, e04801. DOI: 10.7554/eLife.04801 [abstract] [pdf]

62. Henry, C. E.; Xu, Q.; Fan, Y. C.; Martin, T. J.; Belding, L.; Dudding, T.; Kwon, O. Hydroxyproline-derived Pseudo-enantiomeric [2.2.1] Bicyclic Phosphines: Asymmetric Synthesis of (+)- and (-)-Pyrrolines. J. Am. Chem. Soc. 2014, 136, 11890–11893. DOI: 10.1021/ja505592h [abstract] [pdf]
SYNFACTS 2014, 10, 1214. highlight [link]
Kwon Group – Professor Product Portal (Sigma Aldrich) [link]

61. Xiao, Y.; Sun, Z.; Guo, H.; Kwon, O. Chiral phosphines in nucleophilic organocatalysis. Beilstein J. Org. Chem., 2014, 10, 2089–2121. DOI: 10.3762/bjoc.10.218 [abstract] [pdf]

60. Khong, S. N.; Kwon, O. Phosphine-Initiated General Base-Catalyzed Quinolone Synthesis. Asian J. Org. Chem., 2014, 3, 453–457. DOI: 10.1002/ajoc.201402039 [abstract] [pdf]

59. Wang, Z.; Xu, X.; Kwon, O. Phosphine Catalysis of Allenes with Electrophiles. Chem. Soc. Rev., Special Issue “Progress in Allene Chemistry” 2014, 43, 2927–2940. DOI: 10.1039/C4CS00054D [abstract] [pdf]

58. Fan, Y. C.; Kwon, O. Advances in Nucleophilic Phosphine Catalysis of Alkenes, Allenes, Acetylenes, and MBHADs. Chem. Commun. 2013, 49, 11588–11619. DOI: 10.1039/C3CC47368F [abstract] [pdf]

57. Zimonjic, D. B.; Chan, L. N.; Tripathi, V.; Lu, J.; Kwon, O.; Popescu, N. C.; Lowy, D. R.; Tamanoi, F. In vitro and in vivo effects of geranylgeranyltransferase I inhibitor P61A6 on non-small cell lung cancer cells. BMC Cancer, 2013, 13, 198. DOI:10.1186/1471-2407-13-198.[abstract] [pdf]

56. Creech, G. S.; Kwon, O. Palladium-catalyzed coupling of electron deficient β-nitrovinyl and o-nitroaryl thioethers for the synthesis of nitrodienes, nitrostyrenes and nitrobiaryls. Chem. Sci. 2013, 4, 2670–2674. DOI: 10.1039/C3SC50773D [abstract] [pdf]

55. Wang, Z.; Kwon, O. Phosphine Organocatalysis as a Platform for Diversity-Oriented Synthesis. In Diversity-Oriented Synthesis: Basics and Applications in Organic Synthesis, Drug Discovery, and Chemical Biology Trabocchi, A., Ed.; John Wiley & Sons, Inc., 2013; pp 97-133. DOI: 10.1002/9781118618110.ch4 [abstract] [pdf]
54. Patel, A.; Barcan, G. A.; Kwon, O.; Houk, K. N. Origins of 1,6-Stereoinduction in Torquoselective 6π Electrocyclizations. J. Am. Chem. Soc. 2013, 135, 4878–4883. DOI: 10.1021/ja400882y [abstract] [pdf]

53. Florian, A. E.; Lepensky, C. K.; Kwon, O.; Haynes, M. K.; Sklar, L. A.; Zweifach, A. Flow Cytometry Enables A High-throughput Homogeneous Fluorescent Antibody-Binding Assay for -Cytotoxic T Cell Lytic Granule Exocytosis. J. Biomol. Screen. 2013, 18, 420–429. DOI: 10.1177/1087057112466697 [abstract] [pdf]

52. Barcan, G. A.; Patel, A.; Houk, K. N.; Kwon, O. A Torquoselective 6π Electrocyclization Approach to Reserpine Alkaloids. Org. Lett. 2012, 14, 5388–5391. DOI: 10.1021/ol302265z [abstract] [pdf]

51. Khong, S. N.; Kwon, O. One-Pot Phosphine-Catalyzed Quinoline Synthesis. J. Org. Chem. 2012, 77, 8257–8267. DOI: 10.1021/jo30 15825 [abstract] [pdf]
Organic Chemistry Portal highlight [link]

50. Villa, R. A.; Xu, Q.; Kwon, O. Total Synthesis of (±)-Hirsutine: The Application of Phosphine-Catalyzed [4+2] Annulation of Imine with α-Methyl Allenoate. Org. Lett. 2012, 14, 4634–4637. DOI: 10.1021/ol302077n [abstract] [pdf]

49. Fan, Y. C.; Kwon, O. Phosphine/Palladium-Catalyzed Syntheses of Alkylidene Phthalans, 3- Deoxyisoochracinic Acid, Isoochracinic Acid, and Isoochracinol. Org. Lett. 2012, 14, 3264–3267. DOI: 10.1021/ol301154f [abstract] [pdf]

48. Andrews, I. P.; Kwon, O. Enantioselective total synthesis of (+)-ibophyllidine via an asymmetric phosphine-catalyzed [3+2] annulation. Chem. Sci. 2012, 3, 2510–2514. DOI: 10.1039/C2SC20468A [abstract] [pdf]
Listed in the “Top ten most accessed articles in May 2012” [link]
Listed in the “Top ten most accessed articles in June 2012” [link]
SYNFACTS, 2012, 8, 1284. highlight [link]
Organic Chemistry Portal highlight [link]

47. Khong, S. N.; Kwon, O. Chiral Aminophosphine Syntheses and Initial Attempts in Enantioselective Double-Michael Indoline Synthesis. Molecules, Special Issue “Asymmetric Catalysis,” 2012, 17, 5626–5650. DOI: 10.3390/molecules17055626 [abstract] [pdf]

46. Andrews, I. P.; Blank, B. R.; Kwon, O. Phosphine-catalyzed intramolecular γ-umpolung addition of α-aminoalkylallenic esters: facile synthesis of 3-carbethoxy-2-alkyl-3 pyrrolines. Chem. Commun. 2012, 48, 5373–5375. DOI: 10.1039/C2CC31347B [abstract] [pdf]

45. Jing, C.; Na, R.; Liu, H.; Zhang, L.; Liu, J.; Wang, M.; Zhong, J.; Kwon, O.; Guo, H. Phosphine-Catalyzed [3+2] and [4+3] Annulation Reactions of C,N-Cyclic Azomethine Imines with Allenoates. Adv. Syn. Catal. 2012, 354, 1023–1034. DOI: 10.1002/adsc.201100831 [abstract] [pdf]

44. Xu, Q.; Kwon, O. Bis(diphenylphsophino)methane. In Encyclopedia of reagents for Organic Synthesis [Online], John Wiley & Sons Ltd., 2012. DOI: 10.1002/047084289X.rn01439 [abstract] [pdf]

43. Fan, Y. C.; Kwon, O. Phosphine Catalysis. In Science of Synthesis; List, B., Ed.; Asymmetric Organocatalysis, Vol. 1, Lewis Base and Acid Catalysts; Georg Thieme: Stuttggart, 2012; pp 723-782. DOI: 10.1055/sos-SD-204-00359. [abstract]

42. Chan, L. N.; Watanabe, M.; Kwon, O.; Tamanoi, F. Small molecule inhibitors of GGTase-I from the heterocycle library derived from phosphine catalysis. In Enzymes; Hrycyna, C.; Bergo, M.; Tamanoi, F., Eds.; Volume 30, Protein Prenylation Part B; Academic Press/Elsevier: Amsterdam, 2011; pp 165-177. DOI: 10.1016/B978-0-12-415922-8.00007-0 [abstract]

41. Chan, L. N.; Fiji, H. D. G.; Watanabe, M.; Kwon, O.; Tamanoi, F. .Identification and Characterization of Mechanism of Action of P61-E7, a Novel Phosphine Catalysis-Based Inhibitor of Geranylgeranyltransferase-I. PloS ONE, 2011, 6, e26135. DOI: 10.1371/journal.pone.0026135 [abstract] [pdf]

40. Szeto, J.; Sriramurthy, V.; Kwon, O. Phosphine-Initiated General Base Catalysis: Facile Access to Benzannulated 1,3-Diheteroatom Five-Membered Rings via Double-Michael Reactions of Allenes. Org. Lett. 2011, 13, 5420–5423. DOI: 10.1021/ol201730q [abstract] [pdf]

39. Na, R.; Jing, C.; Xu, Q.; Shi, J.; Jiang, H.; Wu, X.; Zhong, J.; Wang, M.; Benitez, D.; Goddard, W. A.; Guo, H.; Kwon, O. Phosphine-Catalyzed Annulation Reactions of Azomethine Imines: Allene-Dependent [3+2], [3+3], [4+3], and [3+2+3] Pathways. J. Am. Chem. Soc. 2011, 133, 13337–13348. DOI: 10.1021/ja200231v [abstract] [pdf]

38. Tran, Y. S.; Martin, T. J.; Kwon, O. Phosphine-Catalyzed [4 + 2] Annulations of 2-Alkylallenoates and Olefins: Synthesis of Multisubstituted Cyclohexenes. Chem. Asian. J. 2011, 6, 2101–2106. DOI: 10.1002/asia.201100190 [abstract] [pdf]

37. Fan, Y. C.; Kwon, O. Diversity-Oriented Synthesis Based on the DPPP-Catalyzed Mixed Double-Michael Reactions of Electron-Deficient Acetylenes and β-Amino Alcohols. Molecules, Special Issue “Diversity-Oriented Synthesis” 2011, 16, 3802–3825. DOI: 10.3390/molecules16053802 [abstract] [pdf]

36. Martin, T. J.; Tran, Y. S; Vakhshori, V. G.; Kwon, O. Phosphine-Catalyzed β’-Umpolung Addition of Activated α-Alkyl Allenes. Org. Lett. 2011, 13, 2586–2589. DOI: 10.1021/ol200697m [abstract] [pdf]

35. Cruz, D.; Wang, Z.; Kibbie, J.; Modlin, R.; Kwon, O. Diversity through phosphine catalysis identifies octahydro-1,6-naphthyridin-4-ones as activators of endothelium-driven innate immunity. Proc. Natl. Acad. Sci. U. S. A. 2011, 108, 6769–6774. DOI: 10.1073/pnas.1015254108 [abstract] [pdf]

34. Choi, J.; Mouillesseauex, K.; Wang, Z.; Fiji, H. D. G.; Kinderman, S. S.; Otto, G. W.; Geisler, R.; Kwon, O.; Chen, J.-N. Aplexone Targets the HMG-CoA Reductase Pathway and Differentially Regulates Arteriovenous Angiogenesis. Development 2011, 138, 1173–1182. DOI: 10.1242/dev.054049 [abstract] [pdf]

33. Andrews, I. P.; Kwon, O. Phosphine Catalyzed [3+2] Annulation: Synthesis of Ethyl 5-(tert-Butyl)-2-phenyl-1-Tosyl-3-Pyrroline-3-Carboxylate. Org. Synth. 2011, 88, 138–151. DOI: 10.1002/0471264229.os088.13 [abstract] [pdf]

32. Wang, Z.; Castellano, S.; Kinderman, S. S.; Argueta, C. E.; Beshir, A. B.; Fenteany, G.; Kwon, O. Diversity via a Branched Reaction Pathway: Generation of A Library of Sixteen Muticyclic Scaffolds and Identification of Anti-Migratory Agents. Chem. Eur. J. 2011, 17, 649–654. DOI: 10.1002/chem.201002195 [abstract] [pdf]

31. Creech, G. S.; Kwon, O. Tandem 6?-Electrocyclization and Cycloaddition of Nitrodienes to Yield Multicyclic Nitroso Acetals. J. Am. Chem. Soc. 2010, 132, 8876–8877. DOI: 10.1021/ja1038819 [abstract] [pdf]

30. Khong, S. N.; Tran, Y. S.; Kwon, O. Equilibrium Between a Vinylogous Ylide and a Phosphonium Dienolate Zwitterion: Vinylogous Wittig Olefination Versus Vinylogous Aldol-Type Reaction. Tetrahedron 2010, 66, 4760–4768. DOI: 10.1016/j.tet.2010.03.044 [abstract] [pdf]

29. Vardhineedi, S.; Kwon, O. Diphosphine-Catalyzed Mixed Double-Michael Reaction: A Unified Synthesis of Indolines, Dihydropyrrolopyridines, Benzimidazolines, Tetrahydroquinolines, Tetrahydroisoquinolines, Dihydrobenzo-1,4-oxazines, and Dihydrobenzo-3,1-oxazines. Org. Lett. 2010, 12, 1084–1087. DOI: 10.1021/ol100078w [abstract] [pdf]
SYNFACTS, 2010, 476 highlight [link]

28. Guo, H.; Xu, Q.; Kwon, O. Phosphine-Promoted [3+3] Annulation of Aziridines with Allenoates: A Facile Entry into Highly Functionalized Tetrahydropyridines. J. Am. Chem. Soc. 2009, 131, 6318–6319. DOI: 10.1021/ja8097349 [abstract] [pdf]
SYNFACTS, 2009, 7, 0748 highlight [link]

27. Lu, J.; Chan, L.; Fiji, H. D. G.; Dahl, R.; Kwon, O.; Tamanoi, F. In vivo anticancer effect of a novel inhibitor of protein geranylgeranyltransferase I. Mol. Cancer Ther. 2009, 8, 1218–1226. DOI: 10.1158/1535-7163.MCT-08-1122 [abstract] [pdf]

26. Lu, K.; Kwon, O. Phosphine-catalyzed [4+2] Annulation: Synthesis of Ethyl 6-phenyl-1-tosyl-1,2,5,6-tetrahydropyridine-3-carboxylate. Org. Synth. 2009, 86, 212–224. DOI: 10.15227/orgsyn.086.0212 [abstract] [pdf]

25. Andrews, I. P.; Kwon, O. Highly Efficient Palladium-Catalyzed Hydrostannation of Ethyl Ethynyl Ether. Tetrahedron Lett. 2008, 49, 7097–7099. DOI: 10.1016/j.tetlet.2008.09.147 [abstract] [pdf]

24. Creech, G. S.; Zhu, X.; Fonovic, B.; Travis, D.; Kwon, O. Theory-Guided Design of Bronsted Acid-Assisted Phosphine Catalysis: Synthesis of Dihydropyrones from Aldehydes and Allenoates. Tetrahedron 2008, 64, 6935–6942. DOI: 10.1016/j.tet.2008.04.075 [abstract] [pdf]

23. Watanabe, M.; Fiji, H. D. G.; Guo, L.; Chan, L.; Kinderman, S. S.; Slamon, D. J.; Kwon, O.; Tamanoi, F. Inhibitors of protein geranylgeranyltransferase-I and rab geranylgeranyltransferase identified from a library of allenoate derived compounds. J. Biol. Chem. 2008, 283, 9571–9579. DOI: 10.1074/jbc.M706229200 [abstract] [pdf]

22. Creech, G. S.; Kwon, O. Alcohol-Assisted Phosphine Catalysis: One-Step Syntheses of Dihydropyrones from Aldehydes and Allenoates. Org. Lett. 2008, 10, 429–432. DOI: 10.1021/ol702462w [abstract] [pdf]

21. Tran, Y. S.; Kwon, O. Phosphine-Catalyzed [4 + 2] Annulation: Synthesis of Cyclohexenes. J. Am. Chem. Soc. 2007, 129, 12632–12633. DOI: 10.1021/ja0752181 [abstract] [pdf]

20. Sriramurthy, V.; Barcan, G. A.; Kwon, O. Bisphosphine-Catalyzed Mixed Double-Michael Reactions: Asymmetric Synthesis of Oxazolidines, Thiazolidines, and Pyrrolidines. J. Am. Chem. Soc. 2007, 129, 12928–12929. DOI: 10.1021/ja073754n [abstract] [pdf]
organic-chemistry.org highlight [link]

19. Henry, C. E.; Kwon, O. Phosphine-Catalyzed Synthesis of Highly Functionalized Coumarins. Org. Lett. 2007, 9, 3069–3072. DOI: 10.1021/ol071181d [abstract] [pdf]

18. Zhu, X.-F.; Henry, C. E.; Kwon, O. Stable Tetravalent Phosphonium Enolate Zwitterions. J. Am. Chem. Soc. 2007, 129, 6722–6723. DOI: 10.1021/ja071990s [abstract] [pdf]

17. Castellano, S.; Fiji, H. D. G.; Kinderman, S. S.; Watanabe, M.; De Leon, P.; Tamanoi, F.; Kwon, O. Small-Molecule Inhibitors of Protein Geranylgeranyltransferase Type I. J. Am. Chem. Soc. 2007, 129, 5843–5845. DOI: 10.1021/ja070274n [abstract] [pdf]

16. Mercier, E.; Fonovic, B.; Henry, C.; Kwon, O.; Dudding, T. Phosphine Triggered [3+2] Allenoate-Acrylate Annulation: A Mechanistic Enlightenment. Tetrahedron Lett. 2007, 48, 3617–3620. DOI: 10.1016/j.tetlet.2007.03.030 [abstract] [pdf]

15. Dudding, T.; Kwon, O.; Mercier, E. .Theoretical Rationale for Regioselection in Phosphine Catalyzed Allenoate Additions to Acrylates, Imines and Aldehydes. Org. Lett. 2006, 8, 3643–3646. DOI: 10.1021/ol061095y [abstract] [pdf]

14. Tran, Y. S.; Kwon, O. An Application of the Phosphine-Catalyzed [4 + 2] Annulation in Indole Alkaloid Synthesis: Formal Syntheses of (±)-Alstonerine and (±)-Macroline. Org. Lett. 2005, 7, 4289–4291. DOI: 10.1021/ol051799s [abstract] [pdf]

13. Zhu, X.; Schaffner, A.; Li, R. C.; Kwon, O. Phosphine-Catalyzed Synthesis of 6-Substituted 2-Pyrones: Manifestation of E/Z-Isomerism in the Zwitterionic Intermediate. Org. Lett. 2005, 7, 2977–2980. DOI: 10.1021/ol050946j [abstract] [pdf]

12. Zhu, X.; Henry, C. E.; Wang, J.; Dudding, T.; Kwon, O. A Phosphine-Catalyzed Synthesis of 1,3-Dioxan-4-ylidenes. Org. Lett. 2005, 7, 1387–1390. DOI: 10.1021/ol050203y [abstract] [pdf]

11. Zhu, X.; Henry, C. E.; Kwon, O. A highly diastereoselective synthesis of 3-carbethoxy-2,5-disubstituted-3-pyrrolines by phosphine catalysis. Tetrahedron 2005, 61, 6276–6282. DOI: 10.1016/j.tet.2005.03.104 [abstract] [pdf]

10. Du, X.; Chu, H. V.; Kwon, O. A concise synthesis of the functionalized [5-7-6] tricyclic skeleton of guanacastepene A. Tetrahedron Lett. 2004, 45, 8843–8846. DOI: 10.1016/j.tetlet.2004.09.187 [abstract] [pdf]

9. Du, X.; Chu, H. V.; Kwon, O. Synthesis of the [5-7-6] Tricyclic Core of Guanacastepene A via an Intramolecular Mukaiyama Aldol Reaction. Org. Lett. 2003, 5, 1923–1926. DOI: 10.1021/ol0344873 [abstract] [pdf]

8. Zhu, X.; Lan, J.; Kwon, O. An Expedient Phosphine-Catalyzed [4 + 2] Annulation: Synthesis of Highly Functionalized Tetrahydropyridines. J. Am. Chem. Soc. 2003, 125, 4716–4717. DOI: 10.1021/ja0344009 [abstract] [pdf]
organic-chemistry.org highlight [link]

Post-doctoral Work
7. Schmidt, D. R.; Kwon, O.; Schreiber, S. L. Macrolactones in Diversity-Oriented Synthesis: Preparation of a Pilot Library and an Exploration of Factors Controlling Macrocyclization. J. Comb. Chem. 2004, 6, 286–292. DOI: 10.1021/cc020076m [abstract] [pdf]

6. Kwon, O.; Park, S. B.; Schreiber, S. L. Skeletal Diversity via a Branched Pathway: Efficient Synthesis of 29,400 Discrete, Polycyclic Compounds and Their Arraying into Stock Solutions. J. Am. Chem. Soc. 2002, 124, 13402–13404. DOI: 10.1021/ja028086e [abstract] [pdf]

Graduate Work
5. Kwon, O.; Su, D.; Meng, D.; Deng, W.; D. Amico, D. C.; Danishefsky, S. J. A Stereospecific Geminal Alkylation Scheme En Route To CP-225,917 and CP-263,114. Angew. Chem., Int. Ed. 1998, 37, 1880–1882. DOI: 10.1002/(SICI)1521-3773(19980803)37:13/14<1880::AID-ANIE1880>3.0.CO;2-5 [abstract] [pdf]

4. Kwon, O.; Su, D.; Meng, D.; Deng, W.; D?Amico, D. C.; Danishefsky, S. J. Total Syntheses of CP-225,917 and CP-263,114: Creation of a Matrix Structure By Sequential Aldol Condensation and Intramolecular Heck Ring Closure. Angew. Chem., Int. Ed. 1998, 37, 1877–1880. DOI: 10.1002/(SICI)1521-3773(19980803)37:13/14<1877::AID-ANIE1877>3.0.CO;2-2 [abstract] [pdf]

3. Kwon, O.; Danishefsky, S. J. Synthesis of Asialo GM1. New Insights in the Application of Sulfonamidoglycosidation in Oligosaccharide Assembly: Subtle Proximity Effects in the Stereochemical Governance of Glycosidation. J. Am. Chem. Soc. 1998, 120, 1588–1599. DOI: 10.1021/ja9724957 [abstract] [pdf]

2. Park, T. K.; Kim, I. J.; Hu, S.; Bilodeau, M. T.; Randolf, J. T.; Kwon, O.; Danishefsky, S. J. Total Synthesis and Proof of Structure of a Human Breast Tumor (Globo-H) Antigen. J. Am. Chem. Soc. 1996, 118, 11488–11500. DOI: 10.1021/ja962048b [abstract] [pdf]

1. Lee, E.; Lee, Y. R.; Moon, B.; Kwon, O.; Shim, M. S.; Yun, J. S. Oxyanion Orientation in Anionic Oxy-Cope Rearrangement. J. Org. Chem. 1994, 59, 1444–1456. DOI: 10.1021/jo00085a037 [abstract] [pdf]
